[1] 네트워크 cs - 네트워크란?
2023. 7. 23. 17:31ㆍcs및 소프트스킬/네트워크
728x90
반응형
SMALL
1. 네트워크?
노드(Node)와 링크(Link)가 서로 연결되어 있고, 리소스를 공유하는 집합
※ 노드 : 서버, 라우터, 스위치 등 네트워크 장치를 의미
※ 링크 : 유선 or 무선을 의미
좋은 네트워크란?
- 많은 처리량, 지연 시간 짧고 장애 빈도가 적음, 좋은 보안을 갖춘 네트워크
2. 처리량(Throughput)
- 링크 내 성공적으로 전달된 데이터의 양 (처리량 = 트래픽)
- 단위 : bps(bits per second) - 초당 전송 or 수신되는 비트 수
- 영향 받는 요인
- 트래픽 : 사용자들이 많이 접속 (흐르는 데이터가 많아짐)
- 네트워크 장치간 대역폭(주어진 시간 동안 네트워크 연결을 통해 흐를 수 있는 최대 비트 수)
- 네트워크 중간에 발생되는 에러
- 장치의 하드웨어 스팩
3. 지연시간(latency)
- 요청이 처리되는 시간
- 어떤 메시지가 두 장치 사이를 왕복하는 데 걸린 시간
- 영향 받는 요인
- 매체 타입(유/무선), 패킷 크기, 라우터의 패킷 처리 시간
4. 토폴로지(Topology)
- 노드와 링크가 어떻게 배치되어 있는지의 방식(연결 형태를 나타냄)
5. 토폴로지 종류
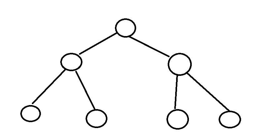
(1) 트리 토폴로지
- 계층형 토폴로지
- 트리 형태로 배치한 네트워크 구성
- 노드의 추가/삭제 쉬움, 특정 노드에 트래픽이 집중 될 시 하위 노드에 영향 받음

(2) 버스 토폴로지
- 중앙 통신 회선 하나에 여러개 노드가 연결되어 공유하는 네트워크
- 설치 비용 적음
- 신뢰성 우수
- 중앙 통신 회선에 노드를 추가 및 삭제 쉬움
- 스푸핑이 가능함

(3) 스타 토폴로지
- 성형 토폴로지라고 불림
- 중앙에 있는 노드에 모두 연결됨
- 노드 추가 용의, 에러 탐지 쉬움, 패킷 충돌 발생 가능성 적음
- 어떤 노드에 장애 발생 시 쉽게 에러 발견 가능
- 중앙노드에 장애 발생시 전체 네트워크 사용 불가

(4) 링형 토폴로지
- 각 노드가 양 옆의 두 노드와 연결
- 고리형 형태로 연속된 길을 통해 통신 망
- 충돌 발생 가능성 낯고 노드의 고장 발견을 쉽게 발견 가능
- 데이터 : 노드에서 노드 이동,
- 네트워크 구성 변경 어려움
- 회선 장애 발생 시 전체 네트워크에 큰 영향 끼침

(5) 메시 토폴로지
- 망형 토폴로지
- 그물망처럼 연결된 구조
- 노드 하나가 장애 발생 시 네트워크 계속 사용 (링크가 각각 연결되어 있음)
- 노드 추가 어렵고, 구축 비용과 운용 비용이 비싸다.

6. 스푸핑
LAN 상에서 송신부의 패킷을 수신부로 전달 되는 것을 속이는 기법,
즉 원리는 정상적으로 통신을 전송해야 할 것을 특정 노드에 걸쳐 수신부에 전달 시킨다.
이 것은 악의적인 노드일 경우 데이터를 변조하여 전송을 시킬 수 있습니다.

7. 병목 현상
- 전체 시스템의 성능 or 용량이 하나의 구성 요소로 인해 제한을 받는 현상
- 서비스에서 이벤트를 열었을 때 트래픽이 많이 생김
- 트래픽을 잘 관리 못하면 병목 현상 생겨 사용자는 웹 사이트로 들어가지 못함
- 원인 : 네트워크 대역폭, 네트워크 토폴로지, 서버 CPU, 메모리 사용량, 비효율적인 네트워크 구성
8. 네트워크 분류
- LAN(Local Area Network) : 근거리 통신망, 전송 속도가 빠르고 혼잡하지 않음
- MAN(Metropolitan Area Network) : 대도시 지역 네트워크, 전송속도 평균, LAN보다 더 많이 혼잡
- WAN(Wide Area Network) : 광역 네트워크, 전송 속도 낮고, MAN보다 더 혼잡
9. 네트워크 성능 분석 명령어
- ping(Packet INternet Groper) : 네트워크 상태를 확인하는 대상 노드를 향해 일정 크기의 패킷을 전송 명령어
- netstat : 접속되어 있는 서비스들의 네트워크 상태를 표시하는데 사용
- nslookup : DNS에 관련된 내용을 확인하기 위해 쓰는 명령어
- trancert (traceroute) : 목적지 노드까지 네트워크 경로를 확인할 때 사용하는 명령어
10. 네트워크 프로토콜 표준화
- 다른 장치들끼리 데이터를 주고 받기 위해 설정된 공통된 인터페이스
728x90
반응형
LIST
'cs및 소프트스킬 > 네트워크' 카테고리의 다른 글
| [6] 네트워크 cs - 경로제어 관련 (0) | 2024.04.10 |
|---|---|
| [5] 네트워크 cs - IP 주소 관련 용어 및 개념 (0) | 2023.07.23 |
| [4] 네트워크 cs - TCP/IP 4계층에 사용되는 각 종 기기 (1) | 2023.07.23 |
| [3] 네트워크 cs - TCP/IP 4계층의 관련된 용어 (0) | 2023.07.23 |
| [2] 네트워크 cs - TCP/IP 모델 (0) | 2023.07.23 |